错节盘根:NKAP错义突变如何造成马凡样特征与智力障碍?
2019-12-26 文章来源:中南大学湘雅二医院 吕欣 王冰 我要说
骨科在线版权所有,如需转载请注明来自本网站.
编者按
Lujan-Fryns综合征(LFS)的临床诊断包括X连锁的智能障碍(XLID)和马凡样特征,常有面部轻微异常和鼻语。由于智力不足和脊柱、颜面畸形,患儿常需要特殊教育和心理辅导,多数患儿合并的先天性心脏疾病往往导致侧弯矫形手术难以进行。从最初报道至今,LFS的定义被显著拓宽,常表述为伴有马凡样特征的智力障碍,以往研究发现该类人群中存在MED12、UPF3B和ZDHHC9三个基因的突变。2014年,德国学者Karl Hackmann等对28名初步临床诊断为LFS的个患者进行上述三种基因的筛查,并未发现上述致病突变,其中4名患者的X染色体测序显示在NKAP和LAS1存在突变。
费城儿童医院的Kosuke Izumi教授团队研究中发现了NKAP的基因突变。NKAP基因编码核质蛋白,参与NF-κB信号通路的活化,并作为一种转录调控因子参与染色体对齐,与HDAC3结合参与mRNA剪接,同时也是后催化P-复合体的一部分,参与相邻外显子拼接和成熟mRNA释放。Kosuke Izumi教授团队设计一系列实验,探索NKAP错义突变在马凡样特征合并智力障碍个体中的影响及其作用机制,并于今年11月将研究成果发表于Human Genetics(American)杂志。本文对该文献进行解读赏析,希望对综合征类脊柱侧弯的基因研究有所启迪。
中南大学湘雅二医院脊柱外科
骨科在线脊柱专业副主编 王冰
研究对象
选取6例散发病例及2个家系共10名患者,受试对象均表现为马凡样特征合并智力障碍(图1),且经外显子测序、GeneMatcher验证确认含有NKAP错义突变(图2)。

图1.研究对象临床表现


图2. 10名患者NKAP基因测序结果及突变位点分布
功能探索
(1)通过PCR、westernblot、免疫荧光检测NKAP表达水平及分布情况,发现突变对NKAP突变自身表达无明显影响(图3)。

图3.正常组与突变组NKAP表达水平及细胞内分布情况
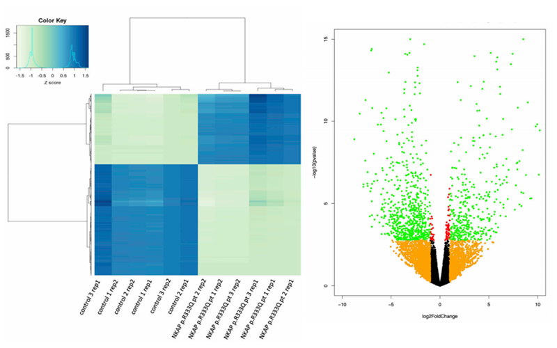
(2)分析NKAP基因突变对其他基因表达是否有调控作用,发现NKAP错义突变可引起更多的差异表达基因(DEGs)下调,长基因的下调更明显,其中包括影响心脏发育的JAG1、影响神经发育的HES1、认知相关的APP以及与细胞外基质相关的Notch信号通路,该变化与患者的临床表现一致(图4、5)。

图4.分层聚类热图和火山图显示表达下调的DEGs更多

图5.NKAP突变引起神经、认知相关基因变化
(3)对两个相近的错义突变方式对基因表达的影响进行相关性分析,发现二者相似(图6),由此初步得出结论:NKAP错义突变引起的表型差异并非源于自身表达异常,而是源于对其他基因表达的调控作用,尤其引其长基因表达下调。

图6.两种NKAP突变体功能相似性
机制探索
前文已提到,NKAP基因既与HDAC3结合参与mRNA剪接,同时也作为后催化P-复合体的一部分参与相邻外显子拼接和成熟mRNA释放。Kosuke Izumi教授团队并未止步于NKAP错译突变的功能探讨,进一步通过MAJIQ工具研究了其引起基因表达下调的机制,发现其并不影响剪接过程(图7),而是对外显子较多的长基因有显著调控作用(图8),由此推断可能更多地影响相邻外显子的拼接。


图7.对照组与突变组的剪接率对比

图8.对照组与突变组的长基因表达情况
动物模型验证
NKAP是高度保守序列,可构建斑马鱼模型。根据已检测到的突变位置,敲除8号外显子的1碱基后引起框移突变,从而引起氨基酸的改变和末端缩短(图9)。F1代杂合NKAP突变斑马鱼没有显示出显著的早期发育表型,杂合F1与野生雄性斑马鱼杂交后,约25%的F2鱼表现出明显的表型,表明NKAP 1 bp缺失的传播遵循孟德尔遗传模式。纯合的NKAP突变鱼有显著的早期发育缺陷,特征是眼睛、肠道和心脏水肿脊索弯曲,2dpf可见中枢神经系统坏死,4dpf时心跳停止,开始腐烂(图10)。检测2dpf斑马鱼的外显子表达情况,发现并无明显影响,产生表型的原因可能是C末端的截短,提示C末端在NKAP调节基因表达中的重要性(图11)。

图9.斑马鱼模型构建方法

图10. A.斑马鱼模型杂交实验示意图B.野生型与纯合突变表型对比C.外显子表达情况对比
研究结论
(1)NKAP错义突变影响其他基因的表达,进而影响神经、结缔组织及认知功能等的发育;
(2)NKAP错义突变体主要影响长基因的表达,其机制可能是:①影响与HDAC3的结合而影响剪接②影响外显子的连接和成熟mRNA的释放,本项研究更支持后者;;
(3)NKAP的转录调控作用很大程度上依赖于其C末端的完整性。
总结
本文所示的研究思路清晰,循序渐进、环环相扣,对NKAP错义突变引起马凡样特征和智力障碍的机制进行了深入探索,并最终构建动物模型进行了验证,使研究更加完整、结论更加可信。但细思后可以发现,本文尚存几点不足:1.本项研究是从怀疑的角度出发,探索已有研究中发现的新突变体的功能,但并未对样本中检测出的其他突变位点的功能进行探讨,不失为一种缺憾;2.斑马鱼模型一定程度上证实了NKAP的功能和C端的重要性,但斑马鱼的NKAP基因位于常染色体上,且构建模型采用的是1kb删除引起的框移突变,不能很好代表文章探讨的X染色体连锁遗的错义突变。
然瑕不掩瑜,本文对进一步研究的启示作用不可忽视。首先,长基因与神经发育关系密切,其下调可能与多种疾病的发病相关,如Rett综合征、孤独症等,未来可对NKAP基因在其他疾病中的作用进行探讨;其次,长基因的转录调控因素较多,除文中的剪接和外显子连接、mRNA释放外,还包括mRNA稳定、转录效率、转运率等方面,之后的研究可从其他方面进一步探究NKAP突变下调长基因表达的机制。另外,本文为综合征类疾病的研究提供了清晰的思路,针对同一个体多个系统的临床表现,应寻找其共同源头,可能是发育过程中某一共同的分化阶段,也可能是共同的上游基因,即便上游基因不同,还应考虑是否受到共同基因表达产物的调控。追本溯源的过程或许艰辛,但相信解释复杂疾病的发病机制,为患者解释病因并解除病痛,是每一位医学科研工作者的共同初心与使命。
作者简介

吕欣
中南大学湘雅二医院脊柱外科,八年制博士在读,师从国内脊柱外科专家王冰教授

王冰
教授、主任医师,博士生导师。
现任中南大学湘雅二医院脊柱外科和湖南省脊柱外科治疗中心副主任,脊柱外科研究室主任。
担任中国康复医学会脊柱脊髓专业委员会青年委员会副主任委员;中国医促会骨科疾病防治委员会脊柱内镜学组副主任委员;中国医师协会骨科分会微创专委会微创融合学组副组长;中华中医药学会脊柱微创专委会常委暨经皮内镜技术研究组副主任委员;中国研究型医院学会脊柱外科专业委员会脊柱畸形学组副组长,中华医学会骨科分会基础学组委员;中国骨科菁英会脊柱创始会员和执委;中国SICOT骨科分会基础学组常务委员;国际侧方入路手术学会中国部副主任委员;AOSpine中国部讲师;《中国脊柱脊髓杂志》常务编委;国际The Spine Journal 和Spine杂志中文版编委;湖南省康复医学会脊柱脊髓专委员主任委员;湖南省医学会骨科分会常委;湖南省遗传学会常务理事;白求恩公益基金会骨科基层教育委员会常委和手术指导专家等职。
擅长内镜微创脊柱外科和各类复杂脊柱畸形的矫治。在国家级和国际核心刊物上以第一作者和通讯作者发表论文100余篇,SCI论文30余篇, 主编和参编专著10余部,主持国家自然科学基金4项。
参考文献:
1.Fiordaliso, S. K., et al. (2019). "Missense Mutations in NKAP Cause a Disorder of Transcriptional Regulation Characterized by Marfanoid Habitus and Cognitive Impairment." Am J Hum Genet 105(5): 987-995.【原文】
2.Hackmann, K., et al. (2016). "Tentative clinical diagnosis of Lujan-Fryns syndrome--A conglomeration of different genetic entities?" Am J Med Genet A 170a(1): 94-102.
3. Li, T., Chen, L., Cheng, J., Dai, J., Huang, Y., Zhang, J., Liu, Z.,Li, A., Li, N., Wang, H., et al. (2016). SUMOylated NKAP is essential for chromosome alignment by anchoring CENP-E to kinetochores. Nat. Commun. 7, 12969.
4. Pajerowski, A.G., Nguyen, C., Aghajanian, H., Shapiro, M.J., and Shapiro, V.S. (2009). NKAP is a transcriptional repressor of notch signaling and is required for T cell development. Immunity 30, 696–707.
5. Chen, D., Li, Z., Yang, Q., Zhang, J., Zhai, Z., and Shu, H.B. (2003). Identification of a nuclear protein that promotes NF-kap[1]paB activation. Biochem. Biophys. Res. Commun. 310, 720–724.
6. Burgute, B.D., Peche, V.S., Steckelberg, A.L., Glo¨ckner, G., Ga-ßen, B., Gehring, N.H., and Noegel, A.A. (2014). NKAP is a novel RS-related protein that interacts with RNA and RNA binding proteins. Nucleic Acids Res. 42, 3177–3193.
7. Fica, S.M., Oubridge, C., Wilkinson, M.E., Newman, A.J., and Nagai, K. (2019). A human postcatalytic spliceosome structure reveals essential roles of metazoan factors for exon ligation. Science 363, 710–714.



京公网安备11010502051256号