年轻患者半月板损伤的运动治疗
2022-06-27 文章来源:北京大学人民医院 作者:刘强 我要说
引言
半月板损伤是年轻人群的“运动杀手”,以往认为半月板损伤只有做手术一条路。近期,《新英格兰医学杂志》的子刊Evidence发表了一篇随机对照研究,给我们带来全新的治疗理念和技术。

一、研究背景及目的
1.1 研究背景
关节镜手术是重要的外科手术;美国100万台/年,英国15万台/年;部分切除、冲洗、探查逐年减少;关节镜下软骨移植逐年增加。
以往研究不支持退行性半月板损伤的关节镜手术,但证据均来自40岁以上的人群。
半月板损伤是年轻人中常见的运动损伤,年轻人手术是否获益仍然存疑。


1.2 研究目的
在40岁以下的年轻半月板损伤患者中,研究早期关节镜手术1年 的效果是否优于运动治疗+患者教育。
二、研究设计
实效性(Pragmatic)RCT;多中心(6家医院);1:1 分组;3、6、12个月随访。

2.1 入组和排除标准
2.1.1 入组标准
18~40岁膝关节疼痛者;病史、症状与MRI相符;骨科医生认为符合手术指征;愿意尽快开始运动治疗/手术。
2.1.2 排除标准
既往受累膝关节的手术史;桶柄样撕裂;既往6个月同侧下肢骨折;伴有完全韧带断裂;3个月内曾做过运动治疗;其他无法参加试验的原因。
三、治疗
3.1 关节镜手术和运动治疗
3.1.1 关节镜手术
6家医院进行手术
部分切除/缝合(全内/内-外)
发放标准化术后康复手册
医生各自确定康复方案
3.1.2 运动治疗
19家康复中心做治疗
12周,2次/周,60-90min/次
治疗前后患者教育,30-45min
神经肌肉训练、肌力训练
按需调整组数、难度
3.2 治疗变更
允许患者变更治疗方法
运动治疗常常需要6-8周出现显著改善
变更手术的标准:KOOS疼痛和/或生活质量25分以下;受试者与骨科医生达成一致
四、结果
4.1 结局指标
主要指标
KOSS4(0-100): KOOS疼痛、其他症状、功能、体育活动的平均分
次要指标
KOOS疼痛、其他症状、功能、体育活动各项评分
Western Ontario Meniscal Evaluation Tool
等长肌力、30秒屈膝次数、单腿跳远、6米单腿跳

4.2 结果
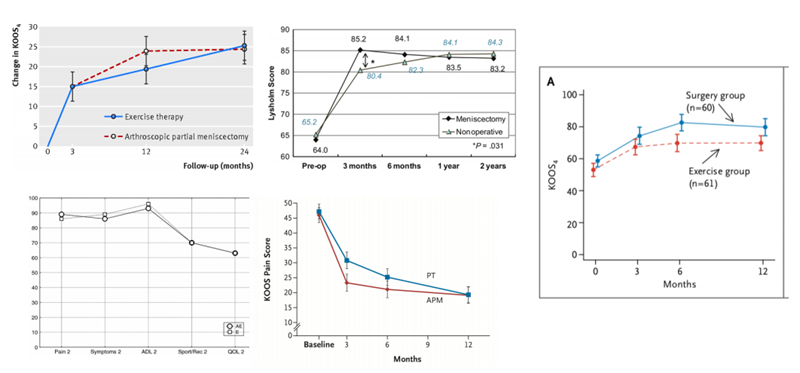
2017年1月~2019年12月,121/546名受试者参与随机分组;
49/60(82%)手术组、58/61(95%)运动治疗组完成12个月随访;
运动治疗组中有16/61(26%)人转为做手术(中位转组时间4个月);
运动治疗组中有36/61(59%)人完成了18次以上的治疗;
手术组中有8/60(13%)人没有做手术,2/60人延迟手术;
随机分组到开始治疗的中位时间为29天(手术)和26天(运动治疗)。




五、结论
对于年轻的半月板损伤患者,手术和运动治疗都是有效的治疗;
符合手术指征的患者中,74%经过运动治疗可以免于关节镜手术;
虽然手术组的大部分数值优于运动治疗组,但未达到临床显著性。

5.1 研究局限性及优势
局限性
RCT的入排标准使其结果难以具备普遍的临床患者代表性;
未设置假手术组,不能明确有多少安慰剂效应;
部分切除和缝合完全由骨科医生来决定,个人经验等不能排除;
治疗脱失率不低,手术组8/60(13%),运动组16/61(26%),可能低估或高估治疗效果;
半月板损伤的病因和性质难以准确界定(创伤性or退变性?)-仅有33%的入组患者界定为创伤性半月板损伤。
研究优势:研究结果更具有临床参考性
实效性RCT的设计:更加贴近临床实际
-由骨科医生把握手术指征 (国外分级诊疗,是否看骨科医生由家庭医生来决定,不能直接挂号);
-嵌入临床实践中招募患者、随机分组;
-允许治疗措施转换;
-手术方式由医生根据术中探查来决定;
5.2 讨论
讨论1:退行性半月板损伤的关节镜vs运动康复

讨论2:半月板损伤的运动康复方案
热身;活动度;肌肉泵;基础屈伸
核心力量训练:臀肌,腹肌,侧腹肌
神经肌肉训练:膝关节动态力线,膝关节负荷调整,弹跳、蹲起等功能训练
下肢力量训练:膝髋协同发力;屈伸肌力训练

讨论3:作为骨科医生看到这个研究的感想
医学发展中临床问题的不断提出和研究
骨科手术可以修复器官,运动康复能改善疼痛、提升功能
不愿意手术,不代表不能成为骨科医生的病人
运动康复将成为骨科医生的又一“利器”
作者简介

刘强,北京大学人民医院骨关节科主治医师,北京大学临床医学博士,美国哈佛医学院博士后,获得美国运动医学会(ACSM)和南丹麦大学运动康复的双重认证。专业擅长骨关节炎、股骨头坏死等疾病的诊断和“无创保关节”治疗和关节外科治疗。
现任国际骨关节炎研究协会通讯组委员,北京精准医学会预防与康复委员会委员,中国养老保健协会养老规划分会委员,北京医学奖励基金会老年医学分会委员,担任GLA:D骨关节炎运动疗法国际联盟的中国项目总监。《Osteoarthritis and Cartilage》、《Arthritis Care and Research》等杂志的特约审稿人。在Lancet Rheumatology、Osteoarthritis and Cartilage等期刊发表SCI论文30余篇。曾荣获北京大学人民医院优秀员工(2019)、国际骨关节炎研究协会青年研究者奖获得者(2017)、《健康报》年度最佳科普文章奖(2016)等奖项。



京公网安备11010502051256号